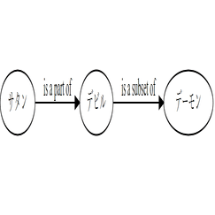
一般的には「サタン」が「デビル」の一部であり、「デビル」と「デーモン」は広く重なり合う概念とされています。
サタン(Satan):
サタンはヘブライ語の元の意味で「敵対者」や「告発者」といった意味を持つ。
キリスト教の文脈では、ルシファーとしての彼が天使であった時に神に対して反乱を起こし、天界から追放された存在として描写されることが多い。
サタンは悪魔の中でも最も高位の存在とされ、人間の堕落や罪を誘う存在として描かれることが多い。
デビル(Devil):
「デビル」は英語で「悪魔」を意味する言葉であり、サタンを指すこともあれば、悪魔一般を指す場合もある。
キリスト教の文脈では、サタンとデビルは同じ存在を指すことが多い。
デーモン(Demon):
ギリシャ語の「δαίμων」が語源で、元々は中立的、または良い意味で使われることもあった霊的な存在を指していた。
しかし、キリスト教の普及とともに、デーモンは邪悪な霊や悪霊を指すようになった。
digraph G {
rankdir=LR;
Satan [label="サタン"];
Devil [label="デビル"];
Demon [label="デーモン"];
Satan -> Devil [label="is a part of"];
Devil -> Demon [label="is a subset of"];
}
「サタン」、「デビル」、「デーモン」の間には、いくつかの視点から見て包含関係があると言えますが、文脈や文化によって異なります。
宗教的・神話的視点:
サタン: キリスト教における悪魔の最高存在で、しばしば「悪そのもの」を象徴します。堕天使ルシファーと同一視されることが多いです。
デビル: 英語で「悪魔」を指す言葉で、一般的にはサタンや他の悪しき存在を意味します。サタンがデビルの代表的な存在とされることが多いです。
デーモン: ギリシャ語の「ダイモーン(δαίμων)」に由来し、神話や宗教において霊的な存在を意味しますが、キリスト教の影響下では「悪霊」として捉えられることが多いです。
文化的・ポピュラー文化視点:
現代のポピュラー文化においては、これらの用語はしばしば混同され、明確な区別がつかない場合が多いです。映画や文学では、サタンもデビルもデーモンも「悪の象徴」として使われることが多く、包含関係が曖昧になることがあります。
要するに、これらの言葉は文脈によって包含関係が異なる場合がありますが、一般的には「サタン」が「デビル」の一部であり、「デビル」と「デーモン」は広く重なり合う概念とされています。